Анализ кала на дисбактериоз
Стоимость анализа кала на дисбактериоз и основные показания
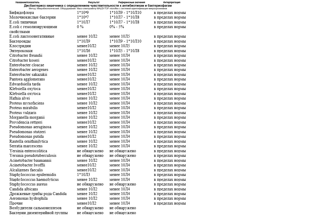
Дисбактериоз (дисбиоз) – нарушение естественной микрофлоры толстого, тонкого кишечника в острой или хронической форме. У здоровых людей в биоматериале преобладают «полезные» микроорганизмы – молочнокислые палочки, бифидобактерии, есть небольшое число стрептококков, стафилококков. При различных заболеваниях равновесие в ЖКТ исчезает, вместо нормальных бактерий появляются патогенные. Обычно пациенты проводят исследование в таких ситуациях:
- после приема антибиотиков, перенесенных кишечных инфекций, при нарушениях питания для выявления причин патологии;
- для определения чувствительности микробов к препаратам, бактериофагам, назначения адекватного лечения;
- с целью контроля эффективности проведенной терапии, профилактики рецидивов инфекции.
Сроки выполнения анализа в СПб — 7-10 дней. Сколько стоит анализ кала на дисбактериоз, зависит от лаборатории, в большинстве из них стоимость составит от 1900 рублей.
Где заказать справку с результатами исследования
Приобрести документ можно после сдачи посева в любой частной лаборатории, коммерческой или государственной клинике, многопрофильном центре. В заключении указывается состояние микрофлоры, наличие/отсутствие выявленных изменений (повышение числа условно-патогенных микробов, появление грибов). Сдавать анализ не просто – подготовка к нему довольно сложна, иначе результаты будут неточными. В экстренных ситуациях, когда предоставить документ нужно по месту требования (лагерь, секция, бассейн, профилакторий), звоните нашим специалистам. Расскажем, как купить бланк с доставкой, чтобы не тратить время на лишние походы и бюрократические проволочки!
Возможно вам понадобятся
Вы не можете скопировать содержимое этой страницы